《柳叶刀》(The Lancet)最新发表的一项模型研究表明,中国的积极防控措施目前已经阻止了2019冠状病毒病(COVID-19)在疫情中心湖北省以外地区的传播。然而,研究人员提示,考虑到病毒再次从国外输入的巨大风险,且经济活动正在不断恢复,需要实时监控COVID-19的传播性和严重性,以防止可能出现的新一轮感染。
该研究估计,在湖北省以外地区,COVID-19的有效繁殖指数(即在疫情期间单个感染者产生的平均病例数,Rt)在2020年1月23日武汉“封城”之后大幅下降,并在此后一直保持在1以下,这表明疫情已从扩大的趋势转变为减弱的趋势[1]。
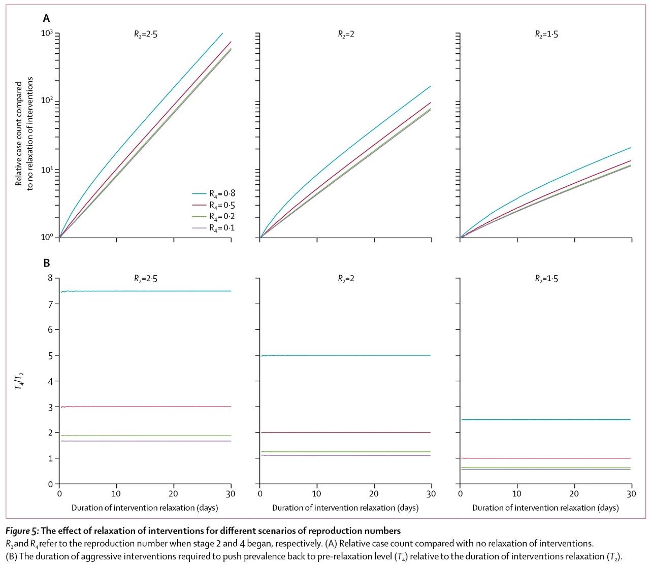
该研究使用数学模型对放松当前防控措施的影响进行了模拟分析,结果显示,过早解除这些干预措施可能会导致Rt再次超过1,造成新一轮感染暴发。
研究人员表示,这些发现对世界上处于“封城”早期阶段的国家至关重要,警示相关国家放松严格的防控措施一定要谨慎。但是,该研究并没有具体分析每一种干预措施的效果,或者哪一种干预措施能最有效地遏制病毒传播。
本研究的通讯作者、香港大学教授胡子祺(Dr. Joseph Wu)说:“虽然这些防控措施似乎已经把COVID-19的感染人数降到非常低的水平,但是随着社会活动逐渐恢复以及社会接触增加,特别是考虑到由于COVID-19继续在全球传播,海外输入病例的风险越来越大,没有针对COVID-19的群体免疫(herd immunity),病例数很容易会再次大量增加。”
他补充道:“虽然保持社交距离(physical distancing)和行为改变(behavioural change)等防控措施可能会持续一段时间,在有效疫苗面世之前,在恢复经济活动与保持有效繁殖指数低于1之间积极寻求平衡,可能是最好的策略。”[2]
进一步的分析表明,湖北省以外地区的确诊病例死亡风险(官方报告的COVID-19确诊病例的死亡概率)为0.98%,几乎比湖北省内的死亡风险(5.91%)低6倍;而且由于经济发展及医疗资源充足与否的程度不同,各省之间的死亡风险也相差很大。在确诊病例数量最多的十个省份中,病死率由0%(沿海地区如江苏)到1.76%(中部省份如河南)不等(原文图4)。

“即使在北京和上海这样最发达、资源最丰富的大城市,医疗资源也是有限的,医疗需求的骤增也会给其医疗系统带来压力,” 本研究的资深作者、香港大学教授梁卓伟(Dr. Gabriel Leung)说,“本研究的结果强调,确保本地医疗卫生系统中有足够的医护人员和医疗资源,对于最大限度地减少COVID-19相关死亡是非常重要的。”[2]
2019年12月,武汉市出现一种新型冠状病毒(SARS-CoV-2)并在中国各地蔓延。2020年1月23日,中国在全国范围内实施严格的人口和社会流动限制措施。这些措施影响了居民的生活、个人活动范围以及经济活动。自2020年2月17日以来,一些省份已经逐步放松限制措施,工厂和办公场所正在逐渐开放。
在该研究中,研究人员分析了2020年1月中旬至2月29日期间地方卫生健康委员会统计的COVID-19确诊病例数据,推算北京、上海、深圳、温州四个大城市和湖北省外COVID-19确诊病例数最多的十个省份中COVID-19的传播性和严重性[3]。基于每日新增输入病例数和本地病例数,按照发病日期绘制了14个省、市的COVID-19流行曲线,并将报告延迟时间(发病日期和病例报告日期之间的时间延迟)纳入模型中以计算每周的有效繁殖指数(原文图2)。研究人员还模拟分析了在繁殖指数增加的不同情况下、在第一波感染之后放松防控措施的潜在影响。

分析表明,在湖北省以外的地区,应逐步放开防控措施,这样才能把繁殖指数控制在1以下,否则病例数量将在放松防控措施期间指数增加(原文图5)。此外,这些估计结果提示,一旦疫情抬头,仅仅再次收紧控制干预措施将不能把感染降到原始水平;为了恢复到放松管控之前的水平,需要额外进一步采取其他措施将繁殖指数控制在1以下,而这可能会导致更多的健康损失和经济损失。

“随着未来几周中国各地经济活动的增加,本地或输入的COVID-19感染病例可能会导致疫情卷土重来”,该研究的共同第一作者、香港大学助理教授梁诗敏(Dr. Kathy Leung)说,“实时监控社会流动和人群接触的增加对COVID-19传播性的影响,可以让政策制定者微调防控措施,从而阻断传播并减低第二波感染发生的可能。”[2]
尽管有这些重要发现,但是该研究仍存在一些局限性。第一,研究中的繁殖指数是基于报告的确诊病例数来推算的,但一些省市的数据中没有包含患者出现症状的时间和日期,而是用北京或深圳的数据推导出的这些省市的相关数据。第二,对放松防控措施只进行了有限的模拟,而且没有具体说明哪些干预措施或公众行为可以分别适用哪些不同的情况。
本研究相关评论的第一作者、华中科技大学徐顺清博士(未参与该研究)在评论中写道:“病死率(CFR)是COVID-19的一个重要未知数。此项研究发现,确诊病例的CFR与各省人均国内生产总值和每万人口可获得的医院床位数相关。截至2020年3月28日,武汉的CFR达到5.08%。本研究所涉及地区的CFR与武汉CFR的显著差异,可能归因于不同地区医疗系统承受能力的差异。因此,在实施干预措施时,应考虑到医疗承受能力的差异。”
NOTES TO EDITORS
The study was funded by the Health and Medical Research Fund, Hong Kong, China. It was conducted by researchers from The University of Hong Kong, China.
[1] The higher the reproductive number, the more transmissible the virus is and the higher the risk for rapid spread. When the reproductive number falls below one, the epidemic is likely to die out.
[2] Quotes direct from authors and cannot be found in the text of the Article.
[3] Full list of the 10 included provinces included in Figure 4 of the article.
题图:Copyright © 2020 Tingshu Wang/Reuters
摘自柳叶刀TheLancet微信公众号